Ylioppilaskirjoitukset kevät 2009

Lähin korottamaan enkun E:tä ja ihan hyvältä tuntuu nyt. Ei ollut kovin vaikea koe, mutta eipä sitä koskaan tiedä. Pari tekstinymmärtämisen kohtaa oli aika älyttömiä.
 
Aika normaali oli vaikeustasoltaan. Kirjotin kans tosta xtreme sportseista. Ainakin mä vastasin tohon dude-kohtaan, et se näytti niin tavalliselta. Siin alussa todettiin et se näyttää ihan normaalilta opettajalta tai jotain. Siitä sit päättelin.

Nyt on sit 3/4 takana ja se vaikein, eli pitkä matikka enää edessä. Pitäis varmaan alkaa lukemaan vähän ahkerammin.
 
No miltäs enkku teistä tuntui? Itse sanoisin, että se oli haastavamman puoleinen. Ainakin muutamassa kohtaa jouduin arpomaan kahden vaihtoehdon väliltä, mutta kirjoitus toisaalta tuntui menevän hyvin. Extreme sportseista kirjoittelin. E on ainakin varma, L:llästä taitaa jäädä se pari pistettä vajaaksi...

Mietin erityisesti ekaa kohtaa, jossa kysyttiin miksi sitä dudea ei huomattu. Päädyin vastaamaan c) he looked so ordinary, vaikka b) he wasn't doing anything special tuntui sopivan myös. Mitäs mieltä te olette?

Vastasin saman mitä sinä. Perseestä noi kun on useampi oikea vastaus aina... Miten ne ranskalaiset piti niitä simpukoita? Ite vastasin että katiskoissa.
 
Vastasin saman mitä sinä. Perseestä noi kun on useampi oikea vastaus aina... Miten ne ranskalaiset piti niitä simpukoita? Ite vastasin että katiskoissa.

Mä vastasin, et ne simpukat on kiinni jossain kepissä. Englantilaiset roikku sit narussa.
 
Mietin erityisesti ekaa kohtaa, jossa kysyttiin miksi sitä dudea ei huomattu. Päädyin vastaamaan c) he looked so ordinary, vaikka b) he wasn't doing anything special tuntui sopivan myös. Mitäs mieltä te olette?

Itse vastasin c, sillä eikös se ollut "stealthly" .
 
Mä vastasin, et ne simpukat on kiinni jossain kepissä. Englantilaiset roikku sit narussa.
Näin mäkin vastasin.

b)Simpukoiden tuoreus vai mikä nyt olikaan taattiin ainakin tutkimalla ne ötököiden varalta ja sit ne puhdistettiin jossain tankeissa.

Sit se yks tyyppi veti herneen nenään siitä, että lehden kannessa oli usan lippu näkyvin, ja kanukkien lippu huonoiten esillä. Yleinen väitös oli sitten, että USA pitää itseään virheellisesti maailman mahtavimpana valtiona.

Kiinalainen löysi Eurooppaan seuraamalla sitä junaraidetta. Kirjoittaja hämmästeli sitä, että se oli kävelly noin pitkän matkan, vaikka sillä oli jalat typistetty(?) tai jotenki sidottu aiemmin perinteen mukaisesti.

e) Hevoset näkevät ruohikon yli ja näin pystyvät tarkkailemaan ympäristöään. Niillä on sitten tosin pari sokeaa pistettä: suoraan edessä ja takana.

Saittekos jotai tällaisia?

edit. stealthistihan se kaveri oli.
Mites muuten vastasitte siihen kohtaan, oliko nyt 9, että mikä inspiroi sitä kirjottamaan niitä vakoojakirjoja? Mikään vaihtoehto kun ei minusta tuntunut sopivalta, vastasin kuitenkin b) his youthful interest :hasse:

Ja vielä perään kysymysys kohdasta 7. Oliko se Bobbyn tragedia b) he had given somebody up vai c) oliko se paljastunut agentiksi? C:n laitoin.
 
Joo, samat sain itekkin tosin höystin vielä paskan tärkeällä tiedolla. Teki joissakin kohtaa tiukkaa saada koko vastaus mahdutettua niille parille riville.
 
Joo, samat sain itekkin tosin höystin vielä paskan tärkeällä tiedolla. Teki joissakin kohtaa tiukkaa saada koko vastaus mahdutettua niille parille riville.

Toi on kyl v-mäistä. Ei kuitenkaan tiedä kuinka lyhyt vastaus ytl:lle riittää, joten sitten vastaa pidemmin. Ja pidempää vastausta ei sitten meinaa saada mahtumaan, vaan se pitää suhertaa niin pienellä, ettei itsekään meinaa saada selvää. Huoh.
 
Näin mäkin vastasin.

b)Simpukoiden tuoreus vai mikä nyt olikaan taattiin ainakin tutkimalla ne ötököiden varalta ja sit ne puhdistettiin jossain tankeissa. Eks tossa ollu toisena kohtana ton tankkijutun lisäks et myyjillä pitää olla joku terveystodistus näkyvillä?

Sit se yks tyyppi veti herneen nenään siitä, että lehden kannessa oli usan lippu näkyvin, ja kanukkien lippu huonoiten esillä. Yleinen väitös oli sitten, että USA pitää itseään virheellisesti maailman mahtavimpana valtiona.Saman laitoin

Kiinalainen löysi Eurooppaan seuraamalla sitä junaraidetta. Kirjoittaja hämmästeli sitä, että se oli kävelly noin pitkän matkan, vaikka sillä oli jalat typistetty(?) tai jotenki sidottu aiemmin perinteen mukaisesti. Ja taas sama. Laitoin, et jalat sidottu perinteiseen kiinalaiseen tyyliin.

e) Hevoset näkevät ruohikon yli ja näin pystyvät tarkkailemaan ympäristöään. Niillä on sitten tosin pari sokeaa pistettä: suoraan edessä ja takana.Laitoin, et laiduntaessaan näkee pedot hyvin.

Saittekos jotai tällaisia?

edit. stealthistihan se kaveri oli.
Mites muuten vastasitte siihen kohtaan, oliko nyt 9, että mikä inspiroi sitä kirjottamaan niitä vakoojakirjoja? Mikään vaihtoehto kun ei minusta tuntunut sopivalta, vastasin kuitenkin b) his youthful interest :hasse: Saman laitoin, kun se sano, et nuorena tykkäs lukee sen jonku tyypin romaaneja.

Ja vielä perään kysymysys kohdasta 7. Oliko se Bobbyn tragedia b) he had given somebody up vai c) oliko se paljastunut agentiksi? C:n laitoin.Laitoin kans et se oli ite paljastunut. Vähän olin epävarma tosta kohdasta.
.
 
Mitä, kokeesta saa lähtee aikasintaa 12.00 ja opapeke ollu koneella jo 12.16 :D
Tosiaa jotku kohdat oli vaikeempia ja toiset sit helpompia. Huojentavaa kuulla et muutki on vastannu noihi a-e kohtiin samanlailla ku mäki. Mutta eiköhän sieltä joku B tai ehkä jopa C napsahda.
 
b)Simpukoiden tuoreus vai mikä nyt olikaan taattiin ainakin tutkimalla ne ötököiden varalta ja sit ne puhdistettiin jossain tankeissa. Eks tossa ollu toisena kohtana ton tankkijutun lisäks et myyjillä pitää olla joku terveystodistus näkyvillä?

Kyllä, siinä oli aluksi jotain juttua ötököista ja sitten,

After harvest: puhdistus bakteerien varalle ja todistus. Pientä kompan tynkää?
 
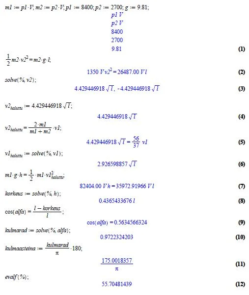
Laskin huvikseni tuon fysiikan kokeen palloheiluritehtävän. (Tai en edes laskenut, vaan annoin tietokoneen laskea.)
 

Liitteet

  • yo2009pallot.webp
    yo2009pallot.webp
    25,2 KB · Katsottu: 317
Mitä, kokeesta saa lähtee aikasintaa 12.00 ja opapeke ollu koneella jo 12.16 :D
Tosiaa jotku kohdat oli vaikeempia ja toiset sit helpompia. Huojentavaa kuulla et muutki on vastannu noihi a-e kohtiin samanlailla ku mäki. Mutta eiköhän sieltä joku B tai ehkä jopa C napsahda.
Sulla on kellot sekasin.

Mitäs laitoitte siihen kiinalaisjuttuun, että mikä oli kiinnostavaa ku se tuli sieltä kiinasta iso-britanniaan? Multa meni se claw-like feet aivan täysin ohi. Varmaan tulee hyvät naurut jollekin sensorille.
 
Nehän on semmoset sidotut jalat, mitä ne kinukit tuppas joskus harrastamaan. Eli sidotaan tyttöjen jalat ja ne on ihan rullal sit aikuisena.
 
Sulla on kellot sekasin.

Mitäs laitoitte siihen kiinalaisjuttuun, että mikä oli kiinnostavaa ku se tuli sieltä kiinasta iso-britanniaan? Multa meni se claw-like feet aivan täysin ohi. Varmaan tulee hyvät naurut jollekin sensorille.

Claw-like eli kynsimäiset jalat. Sellaset saatanan pienet ja sirot jalat jotka väkipakolla aikoinaan Kiinassa ja Japanissa sidottiin tytöille.

E:
After harvest: puhdistus bakteerien varalle ja todistus. Pientä kompan tynkää?

Juu, sadonkorjuun jälkeistä vaihetta kysyttiin. Onneksi tajusin:D
 
Nehän on semmoset sidotut jalat, mitä ne kinukit tuppas joskus harrastamaan. Eli sidotaan tyttöjen jalat ja ne on ihan rullal sit aikuisena.
Joo muistelin kyllä, että jotain tollasta oon joskus kuullu. Clawhan on vissiin sorkkakin englanniks niin laitoin sit siihen, että sillä on sellaset tassumaiset jalat. Ei varmaan tuu paljoo säälipisteitä.:D
 
Mitä, kokeesta saa lähtee aikasintaa 12.00 ja opapeke ollu koneella jo 12.16 :D
No emmä nyt noin nopee ole, kahelta lähin salista.:whip: Kellonajat vaa sekoo niinkuin pezku sanoikin jo.

Ja tuohon simpukoiden jälkikäsittelyyn palatakseni: Huomasin siinä itekin vähä kompaa. Olin aluksi vastaamassa, että tarkistavat rannikkoveden puhtauden säännöllisesti. Tosin eiköhän ne simpukat tarkasteta ötököiden varalta keräämisen jälkeen.

Kohta alkaa muuten Abitreenit teemalta.
 
26-55 oikeat vastaukset:

CACCD BCBCD BCDAC CBBDB BADCC CBCCC

1-25 oikeat waztauqzet:

1.1a 1 C 2 C 3 B 4 A 5 C 6 B 7 B 8 A 9 B 10 B
1.1b 11 B 12 B 13 A 14 B 15 A 16 C 17 B 18 B
1.1c 19 B 20 C 21 B 22 A 23 B 24 B 25 A

Miten ihmeessä se "Australia had some success" oli muka oikea vastaus?

66/80 tais itsellä tulla monivalinnoista
 
Onko sulla jossakin se kysymys? Voi yrittää selittää tota, ite vaihdoin viimehetkillä ton austraalian.
 
Ai perkele sielläkö oli tollanen kompa siinä simpukka tehtävässä :( No ei voi mitään. Tuntu, että hyvin meni. Aineen kirjotus meinas vähä tökkiä oli aika huonoja aiheita omaan makuun.
 
Back
Ylös Bottom