🥑 Kananmuna ja sen vaikutus kolesteroliin

Meta title: 🔥 KANANMUNAN KOLESTEROLI – TIE TOTUUTEEN ILMAN TURHAA PELKÄÄMISTÄ 🔥

Meta description: Kananmunan kolesteroli ei nosta terveiden ihmisten veren kolesterolia merkittävästi, ja munat ovat ravintotiheä superruoka lihaskasvuun ja...


Hyvin yksittäistapaus mutta silti mielenkiintoinen aiheeseen liittyvä. Tämmöisiä ihmisiä pitäisi saada tutkittua enemmän että löytyisi ja varmentuisi heidän "salaisuus". Verrattuna muihin FH-tautia sairastaviin joilla suonet plakkiutuu nopeaa tahtia.

72-year-old patient with Untreated Familial Hypercholesterolemia but no evidence of CAD on six separate CAC tests between late 1990s and 2018.

https://pmc.ncbi.nlm.nih.gov/articles/PMC5991918/
 
Viimeksi muokattu:
Jaa täällä stalkataan kenen viesteistä sä tykkäät. Luulin että ne on peukutuksia viestin kirjoittajalle eikä salapoliiseille.
No kato huvikseen ton tatamin viestihostoria ja mieti sitten onko fiksua tykätä sen jutuista. Huoritellut mun vaimoa täällä jne.
 
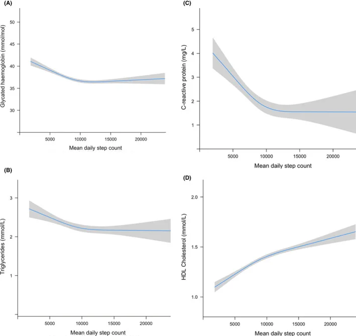
Empäs oo tällästä tienny. oikee alareunan graaffi jossa HDL kolesterolin määrä suhteutuu askelten määrään. Mitä enemmän askelia, sitä enempi hdl:ää. (rajansa kaikella) https://pmc.ncbi.nlm.nih.gov/articles/PMC9428935/
1767079821723.webp
 
Mitenkähän ne ovat ton saaneet rajattua että se on just askeleet, melko veto. Varmaan sama efekti jos nyt on saman ajan jaloillaan ja tekee mitä tekeekään vaikkka töissä.
Kysyin geminiltä;

Dose‐response association between step count and cardiovascular disease isk markers in middle‐aged adults - PMC

Tässä tutkimuksessa osoitettiin, mitä enemmän askeleita sen suurempi hdl kolesteroli. kuinka tuossa tutkimuksessa päädyttiin kyseiseen lopputulemaan?

Kyseisessä tutkimuksessa ("Dose-response association between step count and cardiovascular disease risk markers in middle-aged adults") tutkijat selvittivät askeleen määrän ja terveysmuuttujien välistä suhdetta tarkasti kontrolloidulla asetelmalla.

Tässä on tiivistelmä siitä, miten he päätyivät tulokseen, jonka mukaan suurempi askelmäärä korreloi korkeamman HDL-kolesterolin (ns. "hyvä" kolesteroli) kanssa:

1. Objektiivinen mittaus (Aktiivisuusrannekkeet)​

Tutkimuksessa ei luotettu ihmisten omaan arvioon liikkumisestaan, vaan osallistujat (keski-ikäiset aikuiset) käyttivät kiihtyvyysanturia (accelerometer) vähintään seitsemän peräkkäisen päivän ajan. Tämä antoi tutkijoille tarkan datan:

  • Päivittäisestä askelmäärästä.
  • Liikkumisen intensiteetistä.

2. Laboratorioanalyysit​

Osallistujilta otettiin verinäytteet paaston jälkeen. Näistä näytteistä analysoitiin perinteiset lipidiarvot, mukaan lukien:

  • HDL-kolesteroli
  • LDL-kolesteroli
  • Triglyseridit

3. Tilastollinen analyysi ja annos-vaste-suhde​

Tutkijat jakoivat osallistujat eri ryhmiin (kvartiileihin) heidän päivittäisen askelmääränsä perusteella. He käyttivät tilastollisia malleja (kuten lineaarista regressiota) nähdäkseen, miten HDL-arvot muuttuivat askelmäärän kasvaessa.

Tutkimuksessa havaittiin lineaarinen annos-vaste-suhde:

  • Mitä enemmän askeleita kertyi, sitä korkeampi oli keskimääräinen HDL-pitoisuus.
  • Tämä yhteys säilyi, vaikka tutkijat vakioivat (eli poistivat laskennallisesti vaikutuksen) muita tekijöitä, kuten iän, sukupuolen, tupakoinnin ja painoindeksin (BMI).

4. Biologinen selitysmalli​

Vaikka tutkimus keskittyi tilastolliseen havaintoon, lopputulosta selittää fysiologia: fyysinen aktiivisuus lisää entsyymien (kuten lipoproteiinilipaasin) toimintaa, mikä tehostaa rasva-aineenvaihduntaa ja nostaa HDL-hiukkasten määrää veressä.


Yhteenvetona: Tutkijat vertasivat mekaanisesti mitattua liikkumisdataa ja verikokeita, ja huomasivat, että jokainen lisätty askelmäärän porras oli yhteydessä parempaan HDL-tasoon, ilman että mitään selvää "kattoa" hyödylle tuli vastaan tavanomaisilla askelmäärillä.

onko kyseinen tulos pystytty toistamaan?

Kyllä, tutkimustulos on pystytty toistamaan lukuisissa muissa tutkimuksissa ja laajoissa meta-analyyseissä. Se, että fyysinen aktiivisuus (kuten askeleet) nostaa HDL-kolesterolia, on yksi liikuntafysiologian parhaiten dokumentoiduista vaikutuksista.
Tässä on kooste siitä, miten tulos on vahvistettu muissa yhteyksissä:

1. Laajat meta-analyysit

Useissa meta-analyyseissä (tutkimuksissa, jotka yhdistävät kymmenien muiden tutkimusten tulokset) on todettu, että kestävyysliikunnalla on johdonmukainen vaikutus nimenomaan HDL-arvoihin.
  • Vaikutusmekanismi: Liikunta lisää entsyymiä nimeltä lipoproteiinilipaasi. Tämä entsyymi auttaa hajottamaan triglyseridejä, mikä prosessin sivutuotteena kasvattaa HDL-hiukkasten määrää ja kokoa.
  • Toistettavuus: Vaikka LDL-kolesteroliin (paha kolesteroli) liikunta vaikuttaa usein vain maltillisesti, HDL-vaste on todettu toistuvasti eri ikäryhmissä.

2. "Askelmittari-interventiot"

On tehty kokeellisia tutkimuksia, joissa ihmiset on jaettu ryhmiin: toinen ryhmä on lisännyt askeleitaan (esim. tavoitteena 10 000 askelta) ja toinen on jatkanut entisellään.
  • Näissäkin on havaittu, että aktiivisuuttaan lisänneillä HDL-taso nousee merkittävästi suhteessa passiiviseen ryhmään.
  • Tämä vahvistaa, että kyseessä on syy-seuraussuhde, ei vain sattuma.

3. Annos-vaste-suhteen vahvistuminen

Tutkimukset ovat vahvistaneet alkuperäisen tutkimuksen löydöksen siitä, että hyöty on "annosriippuvainen":
  • Kynnysarvot: Useat tutkimukset viittaavat siihen, että HDL-tason nousu vaatii tietyn minimimäärän energiaa kuluttavaa liikuntaa (usein vähintään 150 minuuttia reipasta kävelyä viikossa tai vastaava määrä askeleita).
  • Intensiteetti: On myös huomattu, että vaikka askeleiden määrä on tärkeä, reippaampi kävely (intensiteetti) nostaa HDL-arvoja usein tehokkaammin kuin hyvin hidas laahustaminen.

Vertailu muihin kolesteroliarvoihin

On tärkeää huomata, että tutkimusten mukaan askeleet vaikuttavat eri tavoin eri arvoihin:
ArvoLiikunnan (askelten) vaikutusToistettavuus
HDL (Hyvä)Nousee selvästiErittäin korkea
TriglyseriditLaskevat selvästiErittäin korkea
LDL (Paha)Laskee lievästi tai ei muutuVaihteleva (ruokavalio vaikuttaa enemmän)

Yhteenveto

Tulos on erittäin luotettava. Keski-ikäisillä aikuisilla askelmäärän lisääminen on yksi tehokkaimmista lääkkeettömistä keinoista nostaa HDL-kolesterolia. Nykyiset liikuntasuositukset perustuvat pitkälti juuri näihin toistettuihin havaintoihin.
 
Eli ihan vain fyysinen liikunta, ei tarvitse olla vain kävelyä. Ajattelinkin että miten helvetissä jalan toisen eteen laittaminen eroais mistään muusta vastaavasta fyysisestä tekemisestä. 10 tuhatta askelta ottaa ajallisesti ihan mukavasti aikaa, niin se on sitä NEATttia (aktiiviselle ihmiselle), urheilua läskille.
 
Eli ihan vain fyysinen liikunta, ei tarvitse olla vain kävelyä. Ajattelinkin että miten helvetissä jalan toisen eteen laittaminen eroais mistään muusta vastaavasta fyysisestä tekemisestä. 10 tuhatta askelta ottaa ajallisesti ihan mukavasti aikaa, niin se on sitä NEATttia (aktiiviselle ihmiselle), urheilua läskille.
Varmasti kaikenlainen aeroobinen, kävely, kevyt juoksu, uinti, frisbeegolf, 8h varastotyö vuoro, pyöräily etc.
 
Varmasti kaikenlainen aeroobinen, kävely, kevyt juoksu, uinti, frisbeegolf, 8h varastotyö vuoro, pyöräily etc.
Itellä vähän huono kun kesällä tulee semmoista 10-20k joka päivä, mutta siinä on kivaa tekemistä sitten kokoajan. Talvella ei vaan kiinnosta kävellä tuolla pakkasessa samaa määrää. 30 tonnin päivät oli aivan liikaa, siinä väsyi jo jalat ja treenit meni vähän metsään. Väsyi siis sillai, ettei kyykky enää tuntunut hyvältä.
 
Itellä vähän huono kun kesällä tulee semmoista 10-20k joka päivä, mutta siinä on kivaa tekemistä sitten kokoajan. Talvella ei vaan kiinnosta kävellä tuolla pakkasessa samaa määrää. 30 tonnin päivät oli aivan liikaa, siinä väsyi jo jalat ja treenit meni vähän metsään. Väsyi siis sillai, ettei kyykky enää tuntunut hyvältä.
Joo nykyään varmaan kaikki kiekkoukot käyttää golffatessa autoa eikä kävele, kun alkaa liika askelmäärä syömään tehoja jaloista. Kyllähän noilla määrillä jalat rasittuu melkoisesti.
 
Itellä vähän huono kun kesällä tulee semmoista 10-20k joka päivä, mutta siinä on kivaa tekemistä sitten kokoajan. Talvella ei vaan kiinnosta kävellä tuolla pakkasessa samaa määrää. 30 tonnin päivät oli aivan liikaa, siinä väsyi jo jalat ja treenit meni vähän metsään. Väsyi siis sillai, ettei kyykky enää tuntunut hyvältä.
Hiihto, luistelu, lumisota, metssäsä hankivaltelu tai sitten lumikengillä kävely, lumiluolien kaivaminen, mäen lasku (kiivetän ylös aina takaisin jne. jne. talvella tulee tosi helsposti ulkona liikuntaa ihan huomaamatta,
 
Hiveen vaikee ymmärtää miten hyvin paljon on ihmisiä edelleen sillä kannalla, että LDL on vain yksi kolesteroli ja syy kaikkeen kun se nyt vain ei faktana ole, piste.

LDL on kuljetuspaketti, ei myrkky.
Riski syntyy, kun:

  • partikkelien määrä (ApoB) on korkea
  • LDL hapettuu tulehdusympäristössä
VHH:lla monilla:

  • ApoB ei nouse samaa tahtia kuin LDL-C
  • LDL on vähemmän hapettumisherkkää
👉 Sama LDL-luku ≠ sama biologinen riski.

VHH:lla usein:

  • triglyseridit laskevat
  • HDL nousee
  • insuliini ja verensokeri laskevat
  • tulehdus (hs-CRP) vaimenee
👉 Kuolleisuutta ennustaa paremmin metabolinen tila kuin yksittäinen LDL-arvo.

LDL ei ole itse kolesteroli vaan kuljetuspartikkeli, joka vie kolesterolia ja rasvoja kudoksille – ongelma syntyy olosuhteista, ei olemassaolosta.

LDL (Low-Density Lipoprotein) on:

  • lipoproteiini = rasva + proteiini -paketti
  • tehtävä: kuljettaa ravinteita veressä, erityisesti:
    • kolesterolia
    • triglyseridejä
    • rasvaliukoisia vitamiineja
Kolesteroli ei liiku vedessä yksin, joten se on pakattava LDL:ään.
 
Juttelin yhtenä päivänä sisätautien dosentin kanssa koleista ja hän vain totesi, että ihmisen maksa veivaa suurimman osan koleista riippumatta, mitä tulee safkasta. Itse en saa LDL yli 3.7, vaika söisin kuin sika savannilla. Sen sijaan laihan ja terveellisesti elävän systerin LDL huitelee 7 tienoilla.
 
Itse en saa LDL yli 3.7, vaika söisin kuin sika savannilla. Sen sijaan laihan ja terveellisesti elävän systerin LDL huitelee 7 tienoilla.
Mikä on siskosi ruokavalio noin muuten että syökö esim. nopeita hiilihydraatteja ja/tai hiilareita turhan paljon muutoin? reilummi njalostettuja liha/maitotuotteita? Entä huonot kasvisrasvat?
 
Mikä on siskosi ruokavalio noin muuten että syökö esim. nopeita hiilihydraatteja ja/tai hiilareita turhan paljon muutoin? reilummi njalostettuja liha/maitotuotteita? Entä huonot kasvisrasvat?

En muuten ole udellut, mutta pyrkii kuulemma noudattamaan surullisen kuuluisaa virallista ruokapyramidia.
 
Itse en saa LDL yli 3.7, vaika söisin kuin sika savannilla.
Olet varmaan ainakin vähän seurannut tätä keskustelua niin siltä sialta jää savannilla juurikin prosessoidut viljat ja kaikenlaiset sokerit aika minimiin 😊

Eikös tässä viimeisessä ruokaympyräsuosituksessa, mikäliepyramidihuijaus olikaan,
tuomittu myös siipikarja koska sillä oli soijan tai jonkun kautta niin huonot vaikutukset ympäristölle?!
Mitähän ihmettä se liittyy terveellisesti syömiseen?
 
Olet varmaan ainakin vähän seurannut tätä keskustelua niin siltä sialta jää savannilla juurikin prosessoidut viljat ja kaikenlaiset sokerit aika minimiin 😊

Eikös tässä viimeisessä ruokaympyräsuosituksessa, mikäliepyramidihuijaus olikaan,
tuomittu myös siipikarja koska sillä oli soijan tai jonkun kautta niin huonot vaikutukset ympäristölle?!
Mitähän ihmettä se liittyy terveellisesti syömiseen?
Uusien suositusten perusteissa lukeekin, että otetaan huomioon ilmastonmuutoksen ehkäisy. Ei siis edes yritetä muodostaa pelkän terveyden edistämisen kannalta suosituksia vaan ilmastohörhöily on vahvasti muokkaamassa. Voi olla jopa takapakkia vanhempiin suosituksiin verraten jos terveyttä ajatellaan koska ilmastopainotus sen kuin kasvaa. Vähintäänkin rajoittuneempi.
 
Back
Ylös Bottom