Koronavirus, COVID-19

  • Keskustelun aloittaja Keskustelun aloittaja Deleted member 43228
  • Aloitettu Aloitettu
Meta title: 💥 Koronavirus, COVID-19 – maailmanlaajuinen kriisi joka mullisti arjen, talouden ja politiikan kertaheitolla

Meta description: Keskustelua COVID-19:n vaikutuksista, tutkimuksista, rokotteista ja arjen muutoksista – kokemuksia ja näkemyksiä ilman paniikkia tai alakehää.


Rokotepassi?

  • Kyllä

    Votes: 90 27,8%
  • Ei

    Votes: 234 72,2%

  • Total voters
    324
Onko näin tyhmiä ihmisiä olemassa?
Siihen on syynsä, miksi lopetin tuolle kommentoimisen. Syy ei ole siinä ettenkö olisi keksinyt mitään sanottavaa, mutta jos argumentti oli sitä tasoa, että autolla on tullut ajettua vaikka minne eikä mitään ole sattunut, mutta rokote on tosi vaarallinen, niin logiikka vetää sanattomaksi. Sit vielä kommentoinnin taso on pelkkää öyhöttämistä ja vittuilua, niin en vajoa niin alas, että antaisin tuollaiselle yhtään enempää huomiota. Tekisi mieli vajota samalle tasolle, mutta siihen en ala, joten viisaampi lopettaa.
 
Kieltämättä tässä ihmettelee noiden ihmisten hysteriaa.
Nyt kun kaikkialla Suomessa laskenut tartunnat reilusti ja myös meillä mutta suhteessa muuhun maahan korkealla niin ihmiset ulisee että tätä nyt saadaan kun ei käytetä maskeja. Paikallisradion toimittelijoiden vakiolause on joka juonnolla että pitäisi muistaa maskit, ihan käsittämätön mantra tullut siitä.
Vituttaa kun haluaisi kuunnella vain musiikkia niin tulee ne pakolliset aivopesut tasaiseen tahtiin.
 
Virusannoksella merkitystä:

Transmission of COVID-19 in 282 clusters in Catalonia, Spain: a cohort study​

We identified 314 patients with COVID-19, with 282 (90%) having at least one contact (753 contacts in total), resulting in 282 clusters. 90 (32%) of 282 clusters had at least one transmission event. The secondary attack rate was 17% (125 of 753 contacts), with a variation from 12% when the index case had a viral load lower than 1 × 106 copies per mL to 24% when the index case had a viral load of 1 × 1010 copies per mL or higher (adjusted odds ratio per log10 increase in viral load 1·3, 95% CI 1·1–1·5). Increased risk of transmission was also associated with household contact (3·0, 1·59–5·65) and age of the contact (per year: 1·02, 1·01–1·04). 449 contacts had a positive PCR result at baseline. 28 (6%) of 449 contacts had symptoms at the first visit. Of 421 contacts who were asymptomatic at the first visit, 181 (43%) developed symptomatic COVID-19, with a variation from approximately 38% in contacts with an initial viral load lower than 1 × 107 copies per mL to greater than 66% for those with an initial viral load of 1 × 1010 copies per mL or higher (hazard ratio per log10 increase in viral load 1·12, 95% CI 1·05–1·20; p=0·0006). Time to onset of symptomatic disease decreased from a median of 7 days (IQR 5–10) for individuals with an initial viral load lower than 1 × 107 copies per mL to 6 days (4–8) for those with an initial viral load between 1 × 107 and 1 × 109 copies per mL, and 5 days (3–8) for those with an initial viral load higher than 1 × 109 copies per mL.

Interpretation​

In our study, the viral load of index cases was a leading driver of SARS-CoV-2 transmission. The risk of symptomatic COVID-19 was strongly associated with the viral load of contacts at baseline and shortened the incubation time of COVID-19 in a dose-dependent manner.
 
Viimeksi muokattu:
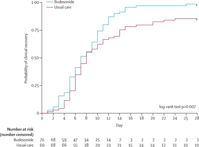
Rct budesonidin(astmalääke) käytöstä koronaan: Miks kiinnostaa minua, on se että ite käytän ko. liäkettä. Aivan selkee hyöty huomattu. Vaikutus myös jostain syystä kuumeeseen merkittävä. Vakavia tapauksia vähemmän.

1620208479240.png
 
Ivermektiinistä on ristiriitasta tietoa. Auttaa ja ei auta riippuen tutkimuksesta. Toivottavasti on hyötyä.

''Hauska'' fakta. Intiassa maksaa 2c, jenkeis tonnin.


In summary, we believe ivermectin, alone or in combination with other drugs should be seriously considered as a therapeutic intervention in COVID-19.

Time to hospital discharge or clinical recovery was significantly shorter in the largest trials using the highest doses (decreasing from 15-17 days to 5-6 days). Moreover, a higher percentage of patients’ were achieving clinical recovery in the ivermectin-treated groups. The meta-analysis showed a 43% (95% CI 21-67%) higher rate of clinical recovery.

The meta-analysis for survival showed an 83% (95% CI 65-92%) reduction in the risk of death for those taking ivermectin compared with controls.

Doses varied widely and the strongest treatment effects were seen with five days treatment using a 0.4mg/kg dose.

The results described by Dr Hill are based on a meta-analysis of 11 randomised trials. A further 45 trials including 7100 participants) are in progress making a total of 56 randomised trials of ivermectin in 21 countries. In the first quarter of 2021 results are expected for a 500-patient trial in Brazil, a 450-patient trial in Colombia and another large study in Argentina. These numbers will bring the total in completed RCTs up to about 3000 (in line with the numbers used to support approval of remdesivir).

The researchers say that they now need to include the next three randomised trials to confirm the clinical benefits observed in 11 RCTs so far and to agree on the optimal dosage regimen. This work was undertaken at the University of Liverpool with funding from Unitaid, as part of the WHO ACT accelerator programme to improve access to treatments for covid-19.

Vieläkää ei näyttöö tarpeeks? 56 rct:tä tehty. Ei hevillä pääse potilas käyttöön. ''ei niitä tutkita''.
 
Viimeksi muokattu:
Muistelen, että aiemmin tätä lääkettä dissattiin aika voimakkaasti. Tais Knuutikin olla siinä kuorossa jos en väärin muista.
Ei varmaa oman muistini mukaan ivermektiini ollu yks niistä. Voin muistaa väärinki. Toivottavasti tästä tulee enempi dataa viel.

Jos on ollu dissauksen alainen, oon ilomielin väärässä:) tärkeetä saada lääkkeitä myöskin tähän.
 
Muistelen, että aiemmin tätä lääkettä dissattiin aika voimakkaasti. Tais Knuutikin olla siinä kuorossa jos en väärin muista.
Oliko voimakas dissaus muotoiltu muotoon: Lääkkeestä ei ole vielä tarpeeksi tutkimusdataa, jotta sen tehosta voisi sanoa?

Se on jännä kun lääkkeitä pitäs tuputtaa testaamatta kaikille. Tai jos peräseinäjoen keijo on parantunu lääkkeen ansiosta tai siitä huolimatta, niin se on sillä kokeella tarpeeksi tutkittu. Mutta rokotteen kohdalla ei riitä nykyiset rokotukset ja aika haittavaikutusten seurantaan, vaan pitää odottaa ainakin x-vuotta.
 
Sekin on jännä juttu, että kun rokotteen turvallisuutta testataan ensin nuorilla ja terveillä, niin se pitää pakottaa muotoon "rokotteen tehoa ei ole osoitettu riskiryhmäläisillä". Päätelmänähän tämä voi olla aivan oikein, mutta missäköhän järjestyksessä testit sitten pitäisi oikein suorittaa?
 
Sekin on jännä juttu, että kun rokotteen turvallisuutta testataan ensin nuorilla ja terveillä, niin se pitää pakottaa muotoon "rokotteen tehoa ei ole osoitettu riskiryhmäläisillä". Päätelmänähän tämä voi olla aivan oikein, mutta missäköhän järjestyksessä testit sitten pitäisi oikein suorittaa?

Nuoreet ja terveet ei tarvitse missään tilanteessa mitään flunssapiikkejä.
 
Eihän sitä muuten apulaisylilääkäriksi pääsisikään...

Apulaisylilääkäri Ruotsalaisen mukaan luvut osoittavat, että kuntosalien sulkeminen on vähentänyt kuntosaleihin liitettyjen tartuntojen ja jatkotartuntojen määriä aikuisten keskuudessa.


– Liikussa oli viime vuonna 1,6 miljoonaa treenikertaa, 8 mahdollista altistumista ja nolla tartuntaa.
 
Back
Ylös Bottom