Koronavirus, COVID-19

  • Keskustelun aloittaja Keskustelun aloittaja Deleted member 43228
  • Aloitettu Aloitettu
Meta title: 💥 Koronavirus, COVID-19 – maailmanlaajuinen kriisi joka mullisti arjen, talouden ja politiikan kertaheitolla

Meta description: Keskustelua COVID-19:n vaikutuksista, tutkimuksista, rokotteista ja arjen muutoksista – kokemuksia ja näkemyksiä ilman paniikkia tai alakehää.


Rokotepassi?

  • Kyllä

    Votes: 90 27,8%
  • Ei

    Votes: 234 72,2%

  • Total voters
    324
Voi vaan koittaa lievittää tautia ja ehkäistä mahdollisimman paljon taudin leviämistä sopivaksi nähdyillä keinoilla. Suurin osa kansa näkee passin sopivana
No onko erittäin alhaisen riskin kuntosalit sitten pakko rajoittaa? Onko tossa sun mielestä järkeä, että ihmisten urheilua rajoitetaan samaan aikaan kun baareissa tauti leviää rokotettujen keskellä? Ketjun alkupäässä oli juttua miten salilla se tauti leviää peileistä ja kun ihmiset huutaa treenatessa ja räkä lentää jne. On se jumalauta kun koko kohta 2 vuotta treenannut eikä ole tarttunut, muut kyllä rokotettuinakin saa tautia, minä en. Ei maskia, ei piikkiä ja terve edelleen.
 
Cokisrekkaakaan ei mennä katsomaan ilman koronapassia :)
1639069804014.webp
 
Voi helvetti muuten vietät aikaa tässä ketjussa.
Hei Jake minä myös :rock: Tää on ehkä tällä hetkellä järkevin ja vielä hyvin moderoitu keskustelupalsta tälle asialle! Tätä seuraa todella moni, vaikka tietyt kaverit onkin eniten äänessä. Välillä pompsahtaa satunnainen nimimerkki lopulta kommentoimaan... ketkä uskaltaa 😁
 
No onko erittäin alhaisen riskin kuntosalit sitten pakko rajoittaa? Onko tossa sun mielestä järkeä, että ihmisten urheilua rajoitetaan samaan aikaan kun baareissa tauti leviää rokotettujen keskellä? Ketjun alkupäässä oli juttua miten salilla se tauti leviää peileistä ja kun ihmiset huutaa treenatessa ja räkä lentää jne. On se jumalauta kun koko kohta 2 vuotta treenannut eikä ole tarttunut, muut kyllä rokotettuinakin saa tautia, minä en. Ei maskia, ei piikkiä ja terve edelleen.
Mut hei sä voit olla sairastanut sen jo oireettomana moneen kertaan, duh. Et voi tietää ku et oo käyny kaivelee nenää.
 
Tää oli muuten todella omituinen aivopesun tuotos, mut näin varmasti moni ajattelee kansasta tietoisesti tai ei;


”Kauppisen mukaan rokottamattomien osallistumisen rajoittaminen taudin leviämisen estämiseksi ei ole yhdenvertaisuutta loukkaavaa. Asiaa voi ajatella myös niin, että olisi epäreilua rokotettuja kohtaan, jos heitä ja rokottamattomia kohdeltaisiin samalla tavalla.
Oikeutta mennä esimerkiksi ravintolaan voi pitää palkintona siitä, että on ottanut rokotuksen.
– Yksi rinnastus on se, että jos talkoosaunaan tuppaa sellainen, joka ei ole osallistunut itse talkoisiin, vaikka olisi voinut, niin silloin talkoolaisilla on oikeus katsoa häntä pitkään, Kauppinen vertaa.”


Siis oikeasti. Jutun perusteella rokotetut on kuin pikkulapsia jotka tarvii palkinnon rokotuksesta ja ovat omahyväisiä mussukoita jotka katsovat pahalla niitä jotka eivät samaan kurimukseen ole lähteneet. 😅 Ikäänkuin itse jäisivät jostain paitsi jos joku muukin saa ilman piikkiä jotain kun mun piti se piikki ottas et mää saan yhyy. Haloo nuo oikeudet mistä puhutaan on ihan jokaisen oikeuksia eikä mitään mitkä pitäs yhtäkkiä uudestaan ansaita. Ja tuo ”yhteisiin talkoisiin osallistuminen” voi luoja mitä idiotismia. Rokottamattomat hoitajat hoitanut meitä kaksi vuotta selkä notkolla ja nyt yhtäkkiä eivät ole osallistuneet yhteisiin talkoisiin. 😂 Ja passi työpaikoille, ihmisille jotka maksaa tän lystin, mut nekään ei ole osallistuneet yhteisiin talkoisiin ilman rokotusta. Hitto että voi olla koulutetut ihmisetkin tyhmiä.
 
Kun täällä on taas aktivoitunu rokotteita pelkääva porukka oikein aktiivisesti ja niitä antavaa hoitajaa verrataan natsiin, niin,

osoittakaa minulle todistaen YKSI perusterve nuori, joka on kuollut rokotteeseen.

Tossa ainaki yks. Tanakan olonen kaveri mut eiks niille just sen rokotteen pitäis olla hyvä.
 
Jos tuntuu että kyseessä on terveyspiikki niin täältä voi lukea osviittaa haitoista.


Tähän vois joku heittää foliot päälle ja linkata sen tutkimuksen minkä mukaan rokotettuja kuolee vähemmän kaikkiin syihin kuin rokottamattomia ts. rokotus pidentää ikää. 😂
 
Ookoo. On se sit sulla rankkaa. Oon hakenut kaks rokotusta ja niistä ei käytännössä mitään haittaa, joten on vähän vaikea hahmottaa tätä suurta kurjuutta, josta puhut. Ja lisäksi ei sitä passia ole enään sen jälkeen, kun paine terveydenhoidosta hellittänyt, joten ei ''painostusta'' ottaa neljättä rokotetta.

Mutta voimia sinulle kurjuuteen.

Sä oot niitä tapauksia kun mulle ei tullu mitään, niin muillekaan. Hyvä ettei tullut mutta ajatteletko tosissasi että ne tehtailee vakavia haittajo huvin vuoksi?
Jep, ja nyt menään tähän mikä luonnonmukaista ja mikä ei argumentointiin. Tunnettiin jo 1800-luvulta isorokkorokotusten ajalta. Kumma vaan, että tuotakaan tautia ei paljon enää kukaa kaipaa, vaikka oli niin kovin ''luonnollista''.
Ja taas toi helvetin isorokko. On meinaan iltapaskan kommenteissakin aika useasti otettu vertailuksi. Jos katsot taas sitä kuolleisuutta, isorokko 30% ja korona.. Onko 0,03 vai 0,003 jopa.
Kas kummaa ku et vielä mustaa surmaa tähän rinnasta.

Edelleenkin jos niin helvetin kuolemaks on tää tauti, niin miksi ei kukaan muu perheestä saanu ku sairastin? Isorokossa olis vähintään 3/4 saanu sen ja 1 kuollut meidän perheestä. Niin ja kun tyttö sairasti sen 3kk mua ennen niin silloinkaan kukaan muu ei saanut sitä.
 
Isorokkovertaukset on tosiaan huikeimpia 🤣 Jos meillä olis aidosti vaarallinen tauti täällä niin eihän siihen piikkiin nimenomaan tarvitsis ketään pakottaa tai painostaa. 99% kansasta ottais sen mukisematta kun jokainen näkee ympärillään miten jengiä kuolee. Edelleen jäis joku 1% kansasta joka ei ottais. Todennäköisesti jostain uskonnollisista syistä ja se olis heidän harminsa.
 
Hyvin taas tajusit vastaukseni. Voi helvetti muuten vietät aikaa tässä ketjussa.

E: nimenomaan sanoin, että korona leviää passista huolimatta. Ei sille vaan mitään voi. Voi vaan koittaa lievittää tautia ja ehkäistä mahdollisimman paljon taudin leviämistä sopivaksi nähdyillä keinoilla. Suurin osa kansa näkee passin sopivana. Siinä ei teidän itkut paljoa auta.

Se piikki on turvallinen ja tehokas sun mielestä?
 
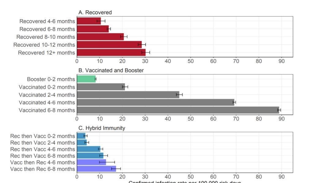
Viime aikoina on julistettu sitä, että rokote+infektio tarjoaa parhaan immuniteetin. Ei pidä paikkaansa. Hyvä oikaisu asiaan:

Artikkelin tutkimus itse asiassa antaa tiedon siitä, että rokote heikentää immuniteettia, kuten foliot on aina sanoneet. Kun verrataan siihen, että otetaan se infektio ensimmäisenä eikä rokotetta.
 
Viimeksi muokattu:
Mut hei sä voit olla sairastanut sen jo oireettomana moneen kertaan, duh. Et voi tietää ku et oo käyny kaivelee nenää.
Joo, pitää mennä ottaan piikki nyt kun on niin vaarallinen tauti, että oon melkein kuollut tietämättä että on edes koko tauti. Mun keho kusee koronan päälle, se kestää tommoiset pikku nuhat tosta vaan. Korona on varmaan 10 kertaa muhun tarttunut eikä tunnu missään. Mahtaa vituttaa näitä itseään rokottavia.
 
Baareissa korona tartuntoja/altistumisia miten on mahdollista ku ei rokottamattomat pääse niihin enää ? :DDDD eiks passin pitäny olla terveysturvallinen tapa avata
Ja ne menevät sitten rokottamattomien sekaan tartuttamaan. Jos tässä pitäis joku passi keksiä, se olis passi että rokotetut ei pääsis mihinkään, nehän tätä tautia levittää.
 
Back
Ylös Bottom